Finds edges in an image using Canny algorithm.
| Parameters: |
|
|---|
The function finds edges in the input image image and marks them in the output map edges using the Canny algorithm. The smallest value between threshold1 and threshold2 is used for edge linking, the largest value is used to find the initial segments of strong edges, see http://en.wikipedia.org/wiki/Canny_edge_detector
Calculates eigenvalues and eigenvectors of image blocks for corner detection.
| Parameters: |
|
|---|
For every pixel
, the function
cornerEigenValsAndVecs
considers a
blockSize
blockSize
neigborhood
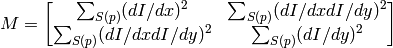
. It calculates the covariation matrix of derivatives over the neighborhood as:

Where the derivatives are computed using Sobel() operator.
After that it finds eigenvectors and eigenvalues of
and stores them into destination image in the form
where

are the eigenvalues of
; not sorted

are the eigenvectors corresponding to


are the eigenvectors corresponding to

The output of the function can be used for robust edge or corner detection.
See also: cornerMinEigenVal() , cornerHarris() , preCornerDetect()
Harris edge detector.
| Parameters: |
|
|---|
The function runs the Harris edge detector on the image. Similarly to
cornerMinEigenVal()
and
cornerEigenValsAndVecs()
, for each pixel
it calculates a
gradient covariation matrix
over a
neighborhood. Then, it computes the following characteristic:

Corners in the image can be found as the local maxima of this response map.
Calculates the minimal eigenvalue of gradient matrices for corner detection.
| Parameters: |
|
|---|
The function is similar to
cornerEigenValsAndVecs()
but it calculates and stores only the minimal eigenvalue of the covariation matrix of derivatives, i.e.
in terms of the formulae in
cornerEigenValsAndVecs()
description.
Refines the corner locations.
| Parameters: |
|
|---|
The function iterates to find the sub-pixel accurate location of corners, or radial saddle points, as shown in on the picture below.
Sub-pixel accurate corner locator is based on the observation that every vector from the center
to a point
located within a neighborhood of
is orthogonal to the image gradient at
subject to image and measurement noise. Consider the expression:

where
is the image gradient at the one of the points
in a neighborhood of
. The value of
is to be found such that
is minimized. A system of equations may be set up with
set to zero:

where the gradients are summed within a neighborhood (“search window”) of
. Calling the first gradient term
and the second gradient term
gives:

The algorithm sets the center of the neighborhood window at this new center
and then iterates until the center keeps within a set threshold.
Determines strong corners on an image.
| Parameters: |
|
|---|
The function finds the most prominent corners in the image or in the specified image region, as described in Shi94 :
neighborhood
are retained).
.
if there is a stronger corner
(
) such that the distance between them is less than
minDistanceThe function can be used to initialize a point-based tracker of an object.
Note that the if the function is called with different values A and B of the parameter qualityLevel , and A > {B}, the vector of returned corners with qualityLevel=A will be the prefix of the output vector with qualityLevel=B .
See also: cornerMinEigenVal() , cornerHarris() , calcOpticalFlowPyrLK() , estimateRigidMotion() , PlanarObjectDetector() , OneWayDescriptor()
Finds circles in a grayscale image using a Hough transform.
| Parameters: |
|
|---|
The function finds circles in a grayscale image using some modification of Hough transform. Here is a short usage example:
#include <cv.h>
#include <highgui.h>
#include <math.h>
using namespace cv;
int main(int argc, char** argv)
{
Mat img, gray;
if( argc != 2 && !(img=imread(argv[1], 1)).data)
return -1;
cvtColor(img, gray, CV_BGR2GRAY);
// smooth it, otherwise a lot of false circles may be detected
GaussianBlur( gray, gray, Size(9, 9), 2, 2 );
vector<Vec3f> circles;
HoughCircles(gray, circles, CV_HOUGH_GRADIENT,
2, gray->rows/4, 200, 100 );
for( size_t i = 0; i < circles.size(); i++ )
{
Point center(cvRound(circles[i][0]), cvRound(circles[i][1]));
int radius = cvRound(circles[i][2]);
// draw the circle center
circle( img, center, 3, Scalar(0,255,0), -1, 8, 0 );
// draw the circle outline
circle( img, center, radius, Scalar(0,0,255), 3, 8, 0 );
}
namedWindow( "circles", 1 );
imshow( "circles", img );
return 0;
}
Note that usually the function detects the circles’ centers well, however it may fail to find the correct radii. You can assist the function by specifying the radius range ( minRadius and maxRadius ) if you know it, or you may ignore the returned radius, use only the center and find the correct radius using some additional procedure.
See also: fitEllipse() , minEnclosingCircle()
Finds lines in a binary image using standard Hough transform.
| Parameters: |
|
|---|
The function implements standard or standard multi-scale Hough transform algorithm for line detection. See HoughLinesP() for the code example.
Finds lines segments in a binary image using probabilistic Hough transform.
| Parameters: |
|
|---|
The function implements probabilistic Hough transform algorithm for line detection, described in Matas00 . Below is line detection example:
/* This is a standalone program. Pass an image name as a first parameter
of the program. Switch between standard and probabilistic Hough transform
by changing "#if 1" to "#if 0" and back */
#include <cv.h>
#include <highgui.h>
#include <math.h>
using namespace cv;
int main(int argc, char** argv)
{
Mat src, dst, color_dst;
if( argc != 2 || !(src=imread(argv[1], 0)).data)
return -1;
Canny( src, dst, 50, 200, 3 );
cvtColor( dst, color_dst, CV_GRAY2BGR );
#if 0
vector<Vec2f> lines;
HoughLines( dst, lines, 1, CV_PI/180, 100 );
for( size_t i = 0; i < lines.size(); i++ )
{
float rho = lines[i][0];
float theta = lines[i][1];
double a = cos(theta), b = sin(theta);
double x0 = a*rho, y0 = b*rho;
Point pt1(cvRound(x0 + 1000*(-b)),
cvRound(y0 + 1000*(a)));
Point pt2(cvRound(x0 - 1000*(-b)),
cvRound(y0 - 1000*(a)));
line( color_dst, pt1, pt2, Scalar(0,0,255), 3, 8 );
}
#else
vector<Vec4i> lines;
HoughLinesP( dst, lines, 1, CV_PI/180, 80, 30, 10 );
for( size_t i = 0; i < lines.size(); i++ )
{
line( color_dst, Point(lines[i][0], lines[i][1]),
Point(lines[i][2], lines[i][3]), Scalar(0,0,255), 3, 8 );
}
#endif
namedWindow( "Source", 1 );
imshow( "Source", src );
namedWindow( "Detected Lines", 1 );
imshow( "Detected Lines", color_dst );
waitKey(0);
return 0;
}
This is the sample picture the function parameters have been tuned for:
And this is the output of the above program in the case of probabilistic Hough transform
Calculates the feature map for corner detection
| Parameters: |
|
|---|
The function calculates the complex spatial derivative-based function of the source image

where
,
are the first image derivatives,
,
are the second image derivatives and
is the mixed derivative.
The corners can be found as local maximums of the functions, as shown below:
Mat corners, dilated_corners;
preCornerDetect(image, corners, 3);
// dilation with 3x3 rectangular structuring element
dilate(corners, dilated_corners, Mat(), 1);
Mat corner_mask = corners == dilated_corners;
Data structure for salient point detectors
KeyPoint
{
public:
// default constructor
KeyPoint();
// two complete constructors
KeyPoint(Point2f _pt, float _size, float _angle=-1,
float _response=0, int _octave=0, int _class_id=-1);
KeyPoint(float x, float y, float _size, float _angle=-1,
float _response=0, int _octave=0, int _class_id=-1);
// coordinate of the point
Point2f pt;
// feature size
float size;
// feature orintation in degrees
// (has negative value if the orientation
// is not defined/not computed)
float angle;
// feature strength
// (can be used to select only
// the most prominent key points)
float response;
// scale-space octave in which the feature has been found;
// may correlate with the size
int octave;
// point (can be used by feature
// classifiers or object detectors)
int class_id;
};
// reading/writing a vector of keypoints to a file storage
void write(FileStorage& fs, const string& name, const vector<KeyPoint>& keypoints);
void read(const FileNode& node, vector<KeyPoint>& keypoints);
Maximally-Stable Extremal Region Extractor
class MSER : public CvMSERParams
{
public:
// default constructor
MSER();
// constructor that initializes all the algorithm parameters
MSER( int _delta, int _min_area, int _max_area,
float _max_variation, float _min_diversity,
int _max_evolution, double _area_threshold,
double _min_margin, int _edge_blur_size );
// runs the extractor on the specified image; returns the MSERs,
// each encoded as a contour (vector<Point>, see findContours)
// the optional mask marks the area where MSERs are searched for
void operator()( const Mat& image, vector<vector<Point> >& msers, const Mat& mask ) const;
};
The class encapsulates all the parameters of MSER (see http://en.wikipedia.org/wiki/Maximally_stable_extremal_regions ) extraction algorithm.
Implements Star keypoint detector
class StarDetector : CvStarDetectorParams
{
public:
// default constructor
StarDetector();
// the full constructor initialized all the algorithm parameters:
// maxSize - maximum size of the features. The following
// values of the parameter are supported:
// 4, 6, 8, 11, 12, 16, 22, 23, 32, 45, 46, 64, 90, 128
// responseThreshold - threshold for the approximated laplacian,
// used to eliminate weak features. The larger it is,
// the less features will be retrieved
// lineThresholdProjected - another threshold for the laplacian to
// eliminate edges
// lineThresholdBinarized - another threshold for the feature
// size to eliminate edges.
// The larger the 2 threshold, the more points you get.
StarDetector(int maxSize, int responseThreshold,
int lineThresholdProjected,
int lineThresholdBinarized,
int suppressNonmaxSize);
// finds keypoints in an image
void operator()(const Mat& image, vector<KeyPoint>& keypoints) const;
};
The class implements a modified version of CenSurE keypoint detector described in Agrawal08
Class for extracting keypoints and computing descriptors using approach named Scale Invariant Feature Transform (SIFT).
class CV_EXPORTS SIFT
{
public:
struct CommonParams
{
static const int DEFAULT_NOCTAVES = 4;
static const int DEFAULT_NOCTAVE_LAYERS = 3;
static const int DEFAULT_FIRST_OCTAVE = -1;
enum{ FIRST_ANGLE = 0, AVERAGE_ANGLE = 1 };
CommonParams();
CommonParams( int _nOctaves, int _nOctaveLayers, int _firstOctave,
int _angleMode );
int nOctaves, nOctaveLayers, firstOctave;
int angleMode;
};
struct DetectorParams
{
static double GET_DEFAULT_THRESHOLD()
{ return 0.04 / SIFT::CommonParams::DEFAULT_NOCTAVE_LAYERS / 2.0; }
static double GET_DEFAULT_EDGE_THRESHOLD() { return 10.0; }
DetectorParams();
DetectorParams( double _threshold, double _edgeThreshold );
double threshold, edgeThreshold;
};
struct DescriptorParams
{
static double GET_DEFAULT_MAGNIFICATION() { return 3.0; }
static const bool DEFAULT_IS_NORMALIZE = true;
static const int DESCRIPTOR_SIZE = 128;
DescriptorParams();
DescriptorParams( double _magnification, bool _isNormalize,
bool _recalculateAngles );
double magnification;
bool isNormalize;
bool recalculateAngles;
};
SIFT();
//! sift-detector constructor
SIFT( double _threshold, double _edgeThreshold,
int _nOctaves=CommonParams::DEFAULT_NOCTAVES,
int _nOctaveLayers=CommonParams::DEFAULT_NOCTAVE_LAYERS,
int _firstOctave=CommonParams::DEFAULT_FIRST_OCTAVE,
int _angleMode=CommonParams::FIRST_ANGLE );
//! sift-descriptor constructor
SIFT( double _magnification, bool _isNormalize=true,
bool _recalculateAngles = true,
int _nOctaves=CommonParams::DEFAULT_NOCTAVES,
int _nOctaveLayers=CommonParams::DEFAULT_NOCTAVE_LAYERS,
int _firstOctave=CommonParams::DEFAULT_FIRST_OCTAVE,
int _angleMode=CommonParams::FIRST_ANGLE );
SIFT( const CommonParams& _commParams,
const DetectorParams& _detectorParams = DetectorParams(),
const DescriptorParams& _descriptorParams = DescriptorParams() );
//! returns the descriptor size in floats (128)
int descriptorSize() const { return DescriptorParams::DESCRIPTOR_SIZE; }
//! finds the keypoints using SIFT algorithm
void operator()(const Mat& img, const Mat& mask,
vector<KeyPoint>& keypoints) const;
//! finds the keypoints and computes descriptors for them using SIFT algorithm.
//! Optionally it can compute descriptors for the user-provided keypoints
void operator()(const Mat& img, const Mat& mask,
vector<KeyPoint>& keypoints,
Mat& descriptors,
bool useProvidedKeypoints=false) const;
CommonParams getCommonParams () const { return commParams; }
DetectorParams getDetectorParams () const { return detectorParams; }
DescriptorParams getDescriptorParams () const { return descriptorParams; }
protected:
...
};
Class for extracting Speeded Up Robust Features from an image.
class SURF : public CvSURFParams
{
public:
// default constructor
SURF();
// constructor that initializes all the algorithm parameters
SURF(double _hessianThreshold, int _nOctaves=4,
int _nOctaveLayers=2, bool _extended=false);
// returns the number of elements in each descriptor (64 or 128)
int descriptorSize() const;
// detects keypoints using fast multi-scale Hessian detector
void operator()(const Mat& img, const Mat& mask,
vector<KeyPoint>& keypoints) const;
// detects keypoints and computes the SURF descriptors for them
void operator()(const Mat& img, const Mat& mask,
vector<KeyPoint>& keypoints,
vector<float>& descriptors,
bool useProvidedKeypoints=false) const;
};
The class SURF implements Speeded Up Robust Features descriptor Bay06 . There is fast multi-scale Hessian keypoint detector that can be used to find the keypoints (which is the default option), but the descriptors can be also computed for the user-specified keypoints. The function can be used for object tracking and localization, image stitching etc. See the find_obj.cpp demo in OpenCV samples directory.